空心玻璃微珠(HGM)是一种无机非金属材料,以其耐磨、耐腐蚀、防辐射、低吸水率和化学稳定性等特性,在建材、橡胶、涂料、航海和航天等多个领域中作为填充剂被广泛应用。其抗压强度作为关键性能指标,对应用和产品质量有直接影响。

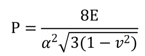
根据Paul W. Bratt等人提出HGM理论破裂强度公式:

HGM的抗压强度受其壁厚、外径和组分影响。HGM粉体由不同粒度颗粒构成,需综合考虑粒度及其分布。而直接测量HGM的壁厚是一项非常耗时的工作,但通过真密度仪来评估其厚度将会更为容易。精确测量和分析HGM的粒径分布和密度有助于了解其在不同应用中的性能表现,优化填充量和加入方式,提升复合材料性能和稳定性。
原理和设备
Bettersize2600激光粒度分析仪采用Mie理论,通过测量颗粒对激光的衍射角度和强度,迅速获取颗粒的粒径及分布信息,测试速度快,仅需1分钟即可输出数据结果。

BetterPyc380多功能真密度仪基于理想气体状态方程,利用气体置换法,通过测量样品仓膨胀到扩展仓前后的压力值计算样品的体积,进而得到真密度。该仪器测试速度快,且对样品无损伤,是一种高效的密度测试方法。

本文采用Bettersize2600激光粒度分析仪和BetterPyc380多功能真密度仪,对四组相同材质的HGM的粒度分布和真密度进行检测,并对测试结果进行分析,以探究其与抗压强度之间的相关性。
测试结果和讨论
表1为四组样品的粒度典型值和真密度数据。可知HGM-1与HGM-2样品粒径及分布基本相同,其真密度分别为0.6033g/cm3和0.3842g/cm3。根据HGM理论破裂强度公式,两者的抗压强度分别为83MPa和38MPa。当直径r一定时,具有较大真密度其壁厚h越大,相应的形状因子越小,抗压强度越大。测试结果与理论预期一致。
表1.HGM1~4的粒径、真密度与抗压强度

通过对比HGM-2、HGM-3和HGM-4号样品,我们看到,随着粒径的减小,真密度(壁厚h)和抗压强度都呈现逐渐升高的趋势。根据抗压强度理论公式可知,当确定样品的化学组成时,形状因子越小,其抗压强度越大。如图1所示。

图1.HGM2~4的粒径、真密度与抗压强度
结论
对于相同配方的空心玻璃微珠,通过控制粒径和真密度能够制备出具有不同抗压强度的产品。
在满足特定粒径要求的情况下,可通过优化生产工艺以提高空心玻璃微珠的真密度,提升其抗压强度。
百特Bettersize2600激光粒度分析仪和BetterPyc380多功能真密度仪,能够为空心玻璃微珠的设计、生产和应用提供有效的检测手段。